Background Survival of high-risk Myelodysplastic Syndromes (MDS) treated with azacytidine during the dysplastic phase and then evolved in Acute Myeloid Leukemia (AML-MDS) is very poor. While the association of hypometilating agents (HMA) and venetoclax (VEN) is widely used in de novo AML not eligible for intensive chemotherapy, very few data are available in patients (pts) with AML-MDS.
Methods Data of 42 pts with AML-MDS treated frontline with HMA+VEN in 19 hematologic Centres in Italy outside clinical trials from 5/2018 to 3/2023 were retrospectively collected and analysed. Composite overall response rate [ORR; complete remission (CR) + CR with incomplete hematologic recovery (iCR) + partial remission (PR) + hematologic improvement (HI)], duration of response and overall survival (OS) were assessed.
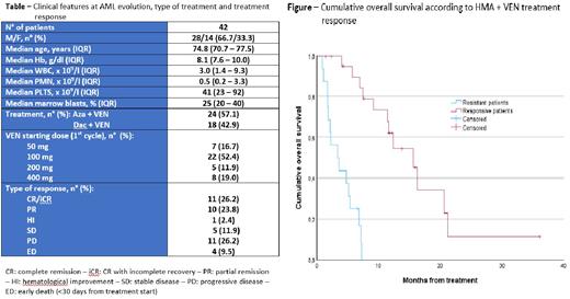
Results: Baseline characteristics at evolution in AML are reported in the Table. Median interval from initial MDS diagnosis to evolution was 16.7 months [interquartile range (IQR) 8.2-30.1]. Pts were treated for a median of 3 courses (IQR 2-6): HMA were administered at standard dosage, VEN daily doses in the 1 st cycle are reported in the Table. On the whole, 34 pts (81.0%) had at least one hematologic toxicity of grade 3-4: in particular, severe neutropenia (PMN < 0.5 x 10 9/l) was reported in 32 pts (76.1%). Eighteen pts (42.8%) had at least one infective episode during the treatment: pulmonary infections were reported in 9 pts (21.4%). Response to treatment is shown in the Table: ORR was 52.4%, with a median response duration of 17.8 months (95%CI 3.3-32.2). After a median follow-up from AML evolution of 6.1 months (IQR 2.2-11.6), 31 pts (73.8%) died and 11 (26.2%) were alive. Median OS from AML evolution of the whole cohort was 6.9 months (95%CI 4.7-9.1), Pts with any response to HMA+VEN had a significantly longer OS compared to pts with progressive/stable disease [15.6 (95%CI 11.3-19.8) versus 3.3 (95%CI 0.7-5.8) months, respectively (p<0.001)] (Figure).
Conclusions: Our real-life data suggested that HMA+ VEN combination could be useful also in AML-MDS already treated with azacytidine in the dysplastic phase, with an ORR of about 50% in pts unfit for intensive approaches: however, hematologic and infective toxicities were severe and the response duration was short, with a persistently poor median OS. As a consequence, addition of other targeted therapies driven by NGS should be explored in the next future.
Disclosures
Latagliata:Novartis: Honoraria; BMS: Honoraria; Celgene: Honoraria; Janssen: Honoraria. Bonifacio:Novartis: Membership on an entity's Board of Directors or advisory committees; BMS: Membership on an entity's Board of Directors or advisory committees; Pfizer: Membership on an entity's Board of Directors or advisory committees; Clinigen: Membership on an entity's Board of Directors or advisory committees; Incyte: Membership on an entity's Board of Directors or advisory committees. Palmieri:Pfizer: Consultancy, Honoraria; Janssen: Consultancy, Honoraria; Abbvie: Consultancy, Honoraria; Jazz: Consultancy, Honoraria. Molteni:AbbVie: Other: Advisory Board. Curti:Novartis: Membership on an entity's Board of Directors or advisory committees; Pfizer: Membership on an entity's Board of Directors or advisory committees; Abbvie: Membership on an entity's Board of Directors or advisory committees.

This feature is available to Subscribers Only
Sign In or Create an Account Close Modal